BSF - Bahn- und Spurführung
→ zurück zum Hauptartikel: Praktikum SDE
Einleitung und Ziel
Im Rahmen des SDE-Praktikums beinhaltet ein Arbeitsbereich die Bahnplanung und die Spurführung. Die Tätigkeit unterteilt sich in die Bereiche Bahnplanung und Autonome Längs- und Querregelung. Im Sommersemester 2016 und im Wintersemester 2016/2017 wurde der Themenbereich von Marcus Irmer und Robin Kirsch bearbeitet. Die Dokumentation beruht auf der Vorarbeit von Daniel Block und Torben Petersen. Im Sommersemester 2018 wurde darauf aufbauend die Thematik von Benedikt Wulowitsch und Leonard Herbstmann bearbeitet. In den Anforderungen und auch dem Pflichtenheft für das SoSe 2018 wurde als Aufgabe die Optimierung der Regler vorgesehen. Diese werden im Sommersemester 2019 von Marcel Bröckelmann validiert und die Pflichten fortgeführt.
Das Thema Autonome Längs- und Querregelung beinhaltet folgende Aufgaben:
- Analyse Istgeschwindigkeitssignal
- Analyse Gierrate
- Regelung längs
- Regelung quer
Zur Querregelung ist neben der eigentlichen Reglerauslegung das Querführungskonzept und die Parametrisierung des Einspurmodells (ESM) erforderlich.
Das Ziel der Aufgabe ist die Auslegung der Längs- und Querregelung des Fahrzeugs.
Analyse Istgeschwindigkeit
Bei der Istgeschwindigkeit wurde auf den Ergebnissen der vorangegangenen Semester zurückgegriffen. Siehe Dazu: Analyse Istgeschwindigkeit
Analyse Gierrate
Bei der Istgeschwindigkeit wurde auf den Ergebnissen der vorangegangenen Semester zurückgegriffen. Siehe Dazu: Analyse Gierrate
Längsregelung
Die Längsregelung des Fahrzeugs erfordert eine exakte Bestimmung der Sollgeschwindigkeit. Aus diesem Grund wird in den folgenden zwei Abschnitten das Konzept zur Bestimmung der Sollgeschwindigkeit betrachtet. Die Längsregelung soll im Groben so funktionieren, dass in Kurven die Längsgeschwindigkeit reduziert wird.
Konzept zur Bestimmung der Sollgeschwindigkeit
<br\>Die Sollgeschwindigkeit des Fahrzeugs wird aus dem Krümmungsradius der Fahrbahn bestimmt, um die Geschwindigkeit in Abhängigkeit der Kurve anzupassen. Die im Online-Modus von der Kamera erfasste Fahrbahn wird mit einer Parabel im Fahrzeug-Koordinatensystem modelliert. Diese ist bestimmt über die drei Koeffizienten a, b und c. Nach der allgemeinen Parabelgleichung ax²+bx+c beschreibt a die Krümmung der Kurve und wird im Block SenKam - Kamera in den Kameraparameter a geschrieben und als Signal SenKam_SpurA_f64 ausgegeben.<br\>
Im Offline-Modus wird der Kameraparameter a aus der Position und der Richtung des im Einspurmodell simulierten Fahrzeugs berechnet. Die Parameter ESM_x_I_f64 und ESM_y_I_f64 beschreiben die Position des Fahrzeugs. Die Richtung des Fahrzeugs steht im Parameter ESM_psi_f64. Der SenKam - Kamera-Block des Offline-Modells wird in der Abbildung SenKam - Kamera (offline) dargestellt.
Die Sollgeschwindigkeit wird im Online-Modell und im Offline-Modell im Baustein "Berechnung V-Soll" ermittelt. Die nachfolgende Abbildung 2 zeigt diesen Baustein, sowieso seine Beschaltung mit Parametern. Die Eingänge des Blocks sind die Kameraparameter SenKam_SpurA_f64 und SenKam_SpurB_f64, die Vorausschauweite BsfQuer_Vorausschauweite_f64 und eine maximal zulässige Querbeschleunigung PAR_BsfQuer_a_max. Innerhalb des Subsystems Berechnung V_Soll wird zum einen der Kurvenradius der Bahnkurve in Abhängigkeit der Vorausschauweite berechnet. In Kombinatino mit der Querbeschleunigung und dem aktuellen Kurvenradius wird eine Sollgeschwindigkeit ermittelt, welche am Ausgang des Bausteins abgerufen werden kann.<br\>
Die nebenstehende Abbildung zeigt die Programmierung zur Berechnung des Kurvenradius innerhalb des Subsystems. Die Berechnung liegt folgender Formel zur Berechnung eines Krümmungskreises zur Grunde:
Das Kurvenpolynom hat den Grad 2 und lässt sich somit schreiben als:
Durch das zweimalige differenzieren dieses Polynoms ergeben sich folgende Polynome:
Wenn die beiden Ableitungen nun in die vorangegangene Formel zur Berechnung des Krümmungskreises eingesetzt werden, ergibt sich folgende Formel:
Die nachfolgende Abbildung 3 zeigt die Programmierung der hergeleiteten Formel in MATLAB/Simulink. Für Es wurde von der Berechnung der Absolutwert gebildet und an den Ausgangsparameter r weitergeleitet.
Damit aus dem bestimmten Kurvenradius der Fahrbahn eine Sollgeschwindigkeit ermittelt werden kann, wird sich folgender Formel bedient: diese Formel bezieht die maximale Querbeschleunigung mit ein ist in der Abbildung "Berechnung Sollgeschwindigkeit" in Simulink programmiert.
In der nachfolgenden Abbildung 4 ist ein Lookup-Table dargestellt, an welchen eine Konstante angeschlossen ist. Dieser dient dazu, den Sollwert für die Geschwindigkeit zwischen V_Kurve und V_Gerade umzuschalten. Die Konstante kann Werte zwischen Null und Eins annehmen. Die Geschwindigkeit V_Kurve wird mit diesem Faktor verstärkt und die Geschwindigkeit V_Gerade wird mit dem 1-Faktor verstärkt. Sollte sich das Fahrzeug also in einer Kurve befinden, so ist der Wert der Konstante bei 1 und die errechnete Sollgeschwindigkeit für die Kurvenfahrt wird an den Ausgang V_Soll weitergeleitet. Wird hingegen keine Kurve gefahren, so ist die Konstante Null und der feste Wert der Sollgeschwindigkeit für eine Geradeausfahrt wird an den Ausgang übermittelt. Diese Programmierung verhindert das Springen der Sollgeschwindigkeit, sobald aus der Geraden in eine Kurve gelenkt wird, oder andersherum.
Reglerentwurf
Zum besseren Verständnis wurde zusätzlich ein allgemeiner Regelkreis für die Längsführung des Fahrzeuges in Abbildung 5 aufgestellt.

Die Parameter V_Soll und V_IST sind die gewünschte Sollgeschwindigkeit und die tatsächliche Geschwindigkeit des Fahrzeuges. Die Geschwindigkeit wird über ein PWM Signal gesteuert. Erfasst wird sie über eine Hall Sensorik.
In den Regelkreis eingehende Störgrößen beschreiben Problematiken wie Schlupf und verschiedene Haftreibungen der Räder oder Probleme bei der Übersetzung.
Eine detailierte Beschreibung des Regelkreises wird folgend anhand des Simulink-Modells verdeutlicht.
Für den Längsregler wurde ein separates Simulink-Modell angelegt, damit der Regler besser veranschaulicht werden kann. Der Regler besitzt einen P-, I- und D-Anteil. Die Nachfolgende Abbildung 6 zeigt die Testumgebung für den Längsregler
Für die Untersuchung der Regler-Parameter wurde ein Einheitssprung verwendet. Es wurden dabei folgende Feststellungen gemacht.
- Der P-Anteil ist für die Größe des "Einheitssprungs" verantwortlich. Mit größerem P-Anteil stellt sich außerdem ein zunehmendes Überschwingen ein.
- Mit dem I-Anteil werden die Stellgröße und der P-Anteil geglättet, jedoch ist für eine glatte Stellgröße ein sehr hoher I-Anteil erforderlich (größer als 150).
- Durch den D-Anteil kann der negative Ausschlag zu Beginn verringert werden. Mit größerem D-Anteil nimmt die Schwingung der Stellgröße zu.
Die Auswirkungen der Parameter wurden in einer Testreihe untersucht. Die Plots sind im Ordner trunk/Teams/BSF/Bilder Doku/Reglerentwurf zu finden.
Wenn nur ein D-Anteil vorhanden ist, ist die Stellgröße nicht konstant. Im Test wurden für den D-Anteil die Werte [5 15 50] verwendet und der Wert 15 gewählt, weil die Totzeit am geringsten ist. Für größere Werte nimmt sie nicht weiter ab.
Im Test des I-Anteils wurde mit verschiedenen Werten experimentiert, eine konstante Stellgröße wurde erst ab einem Wert von 170 erreicht. Bei kleineren Werten konnte im Plot der Stellgröße noch eine Schwingung wahrgenommen werden.
Sobald der D-Anteil hinzukommt, geht die konstante Stellgröße verloren, jedoch wird der negative Ausschlag verringert. Allerdings kann auch mit einem sehr hohen I-Anteil von 500 die Stellgröße nicht geglättet werden.
Siehe Dazu: Auslegung der Reglerparameter
Längsregelung Wintersemester 2018/19
Im Wintersemester 2018/19 wurde die Längsregelung von einer Steuerung in eine eigentliche Regelung überführt. Vorher wurde die Sollgeschwindigkeit mit einer Verstärkung von "1" verstärkt, und als Ist-Wert ausgegeben, sodass nie eine Regelabweichung existierte. Nun wurde eine Kopplung zwischen dem Ausgang des Reglers und der Ist-Geschwindigkeit geschlossen. Für die Kopplung wurde aus dem Bus das Signal "BsfLaengs_Gaspedal_f64" genommen. Dies ist das Signal, welches vom Ausgang des Längsreglers beeinflusst wird. Dieses Signal hat einen Wertebereich von -1 bis +1. So wurde innerhalb des Lookup-Tables unter "Table data" der Vektor [-1 0 1] angelegt. Als erste Annahme für die Simulation wurde eine Maximalgeschwindigkeit von 0.75 m/s in beide Fahrtrichtungen angenommen. Unterhalb des Punktes "Breakpoints1" im Lookup-Table wurde folgender Vektor eingefügt: [-0.75 0 0.75]. Die nachfolgende Abbildung 7 zeigt den besagten Lookup-Table.
Damit die Regelung nun vollständig ist, wurden die Parameter des Längsreglers angepasst. Die Findung der Parameter fand empirisch statt, sodass nun folgende Parameter gültig sind:
PAR_BsfLaengs_PAnteil_f64 = 5;
PAR_BsfLaengs_IAnteil_f64 = 2;
PAR_BsfLaengs_DAnteil_f64 = 0;
PAR_BsfLaengs_Filter_DAnteil_f64 = 10; % Eckfrequenz des PT1-Filters für den gefilterten D-Anteil
Zum Test des Regelkreises wurde in der nachfolgenden Abbildung 8 eine Sollgeschwindigkeit von 0.6 m/s nach einer Simulationszeit von 10s eingeleitet. Der rote Verlauf stellt den Sprung dar, der grüne Verlauf stellt die Sollgeschwindigkeit dar und der blaue Verlauf soll die Regelabweichung darstellen.

Desweiteren wurde im Wintersemester 18/19 ein Konzept für die Längsführung in verschiedenen Fahrsituationen implementiert.
Zu unterscheiden gilt hierbei zwischen der Geradeausfahrt, der Fahrt in einer Kurve, der Fahrt mit einer Stopplinie, der Fahrt mit Einparkvorgang und der Fahrt mit statischen Hindernissen.
Bei der Fahrt mit dem Einparkvorgang und der Fahrt mit Stopplinie wird die Längsführung jeweils in einem separaten Modell bestimmt.
Die Fahrt auf einer geraden Strecke, in einer Kurve und mit statischen Hindernissen wird in dem Modul zur Bestimmung der Sollgeschwindigkeit (BSFVx_Bestimmung_Sollgeschwindigkeit) gesteuert. Eine Erklärung der Funktionsweise erfolgt anhand der Einstellungen in der start.m Datei (s. unterhalb der Grafik "Listing aus der start.m Datei")

In dem folgenden Listing sind die Zeilen der start.m Datei zu sehen, in welchen Einstellungen der Längsführung vorgenommen werden können.
Durch eine Definition von BsfVx_VxMax_f64 mit einer Geschwindigkeit in m/s kann die maximale Geschwindkeit auf dem Rundkurs in der Simulation eingestellt werden.
Dies erfolgt unter zuhilfenahme des
Saturation-Blocks (s. Grafik "Modul für die Funktion zur Bestimmung der Sollgeschwindigkeit").
Die Definition von BsfVx_Vxhindernis_f64 ermöglicht die Einstellung der Geschwindkeit in m/s, mit welcher sich das Fahrzeug einem Hindernis annähert und ausschert.
Mit dieser Funktion soll das Überprüfen des Fahrverhaltens erleichtert werden, sowie als Vorarbeit für die Fahrt mit dynamische Hindernissen dienen (s. Ausblick).
Schalter_VxVorgabeHindernis dient als Auswahlmöglichkeit, ob die Geschwindigkeit bei einem erkannten Hindernis angepasst werden soll (Schalter_VxVorgabeHindernis = 1) oder nicht (Schalter_VxVorgabeHindernis = 0). Eine Umsetzung dieser Funktionsweise im Modul "BSFVx_Bestimmung_Sollgeschwindigkeit" erfolgt über einen Switch-Block, ebenso wie das Umschalten der Geschwindigkeit bei einem erkannten Hindernis.
Querregelung
Für die Querregelung wird verglichen, welche Bahn das Auto fahren würde (Istgröße) und welche Bahn das Auto fahren soll (Sollgröße). Zuerst wird die Bestimmung der Sollgröße beschrieben.
Querführungskonzept
Die Querführung des Fahrzeuges wird in zwei Bereiche unterteilt. Der erste Aspekt beinhaltet die Bahnplanung, die im Folgenden in ihrer theoretischen Grundlage und der Umsetzung in Simulink dargestellt wird. Die Querregelung wird im Anschluss beschrieben.
Als Grundlage für das Querführungskonzept dient die Sollbahn, die durch das Team OSE - Objekt- und Spurerkennung aufgrund der Analyse der zu fahrenden Strecke mit Hilfe eines Polynoms zweiten Gerades, das durch die Parameter a, b und c eindeutig beschrieben ist, zur Verfügung gestellt wird. (Wichtig: trunk/Anforderungsmanagement/Lastenheft/Schnittstellendokumentation.docx beachten)
Da in dieser Anwendung aufgrund der Geometrie des Fahrzeugs ein Vergleich der Soll- und Ist-Bahn nicht sinnvoll ist, muss ein Punkt auf der Bahn in der Vorausschauweite x prädiziert werden, an dem sich das Fahrzeug bei idealem Lenkwinkel und der aktuellen Geschwindigkeit befinden würde. Der ideale Lenkwinkel kann aber nicht bestimmt werden. Aus diesem Grund muss eine Abschätzung der Querabweichung von der einfachen Geradeausfahrt getroffen werden. Dabei wird der derzeitige Lenkwinkel als Referenz verwendet. Die Regeldifferenz des Querreglers bildet sich somit aus dem Punkt auf der Sollbahn und der prädizierten Positionsabschätzung.
Vorausschauweite
Die Vorausschauweite x wird abhängig von der aktuellen Geschwindigkeit des Fahrzeugs berechnet. Dazu wird eine LUT verwendet, ihre Parameter sind in der Parameterdatei param_BSF.m hinterlegt. Es sind die Werte PAR_BSFQuer_LookupVorausschauweite_Vx_f64 mit aktuell [0 0.2 0.30 0.8 3] und PAR_BSFQuer_LookupVorausschauweite_X_f64 mit aktuell [0.4 0.4 0.8 0.8 1.5]. Wichtig: Die Kamera mit der nachgeschalteten Bildverarbeitung liefert nämlich nur Ergebnisse für dem Bereich zwischen 0,4 m und 1,5 m vor dem Fahrzeug. Am besten arbeitet das Fahrzeug bei derzeitiger Konfiguration mit 0,8. Aus diesem Grund wurde mit der LUT der Wert auf diesen Bereich begrenzt, die Werte unter bzw. über 0,8 werden nur bei sehr geringer bzw. sehr hoher Geschwindigkeit angenommen. Es besteht aber noch die Möglichkeit auf einen manuellen Wert umzustellen, dies kann in ControlDesk® auf dem Layout BSF_Regelung gemacht werden, vgl. Abbildung Layout BSF_Regelung.
Sollbahnbestimmung
Im Folgenden soll die Bestimmung des Punktes auf der Sollbahn beschrieben werden. Die Bahn wird als ein Polynom zweiten Gerades, einer Parabel, approximiert. Die allgemeine Formel lautet:
Die Abbildung 12 Schema der Sollbahn zeigt die Sollkurve im Fahrzeug-Koordinatensystem. Auch die Lage des Sollpunktes auf der Kurve ist dort qualitativ zu sehen.
Quelle: trunk/Dokumentation/Dokumentation_LaTex/Carolo_Doku_2012.pdf
Die Bestimmung des prädizierten Punktes des Fahrzeuges auf der Ist-Bahn geschieht unter folgender Annahme: Ist der Lenkwinkel des Fahrzeuges gleich Null, existiert zwischen prädiziertem Ist-Punkt und der aktuellen Ausrichtung des Fahrzeuges keine Querabweichung. Fährt das Fahrzeug nicht exakt geradeaus, befindet es sich auf einer Kreisbahn, die bei stationär statischem Lenkwinkel konstant ist.
Der Radius dieser Kreisbahn lässt sich aus der stationären Gierrate und der Geschwindigkeit wie folgt bestimmen:
Die Abbildung 13 Schema der Istbahn zeigt die prädizierte Istbahn im Fahrzeug-Koordinatensystem und den Zusammenhang zwischen Querabweichung y und Vorausschauweite x.
Quelle: trunk/Dokumentation/Dokumentation_LaTex/Carolo_Doku_2012.pdf
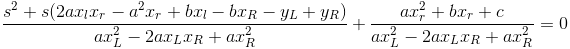
Zur Bestimmung der Querabweichung y wird der in der Skizze erkenntliche Zusammenhang zwischen dem Kreisradius r und der Vorausschauweite x verwendet. Dazu muss jedoch zuvor sichergestellt werden, dass die Vorausschauweite kleiner als der Betrag des erechneten Radius ist. Mit dem Satz des Phythagoras kann dann a wie folgt bestimmt werden:
Die Querabweichung y kann aus r und a bestimmt werden, sofern r positiv ist (Linkskurve):
Falls r negativ ist (Rechtskurve), berechnet sich y wie folgt:
Da die Vorausschauweite x unabhängig vom derzeitigen Kurvenradius r bestimmt wird, kann der Ausdruck unter der Wurzel in (3) negativ sein. Weil diese Berechnung unzulässig wäre, wird vorbeugend das Ergebnis der Vorausschauweitenberechnung mit einer Sättigungsfunktion begrenzt, die maximal 80 % des aktuellen Kurvenradius annimmt. Dieser Wert (80 % = 0.8) kann über den Parameter PAR_BSFQuer_VorausschauBegrenzung_f64 eingestellt werden.
Die Querabweichung der Sollbahn und die Querabweichung der Istbahn, jeweils bezogen auf die aktuelle Ausrichtung des Fahrzeuges, ergeben die Regeldifferenz für den Querregler. Aufgrund der Differenz zwischen Sollbahn und Istbahn bringt dieses Konzept eine bleibende Regelabweichung in der Kurve mit sich. Diese ist nur dann Null, wenn das Fahrzeug sich in der Geradeausfahrt befindet.
Siehe dazu: Querreglung Vorarbeiten
Reglerentwurf
Wie auch bei der Längsführung wurde für die Querregelung zur Übersicht ein allgemeiner Regelkreis aufgestellt. Dieser allgemeine Regelkreis ist in der nachfolgenden Abbildung 14 visualisiert.

Die Parameter LW_Soll und LW_Ist beschreiben den gewünschten Lenkwinkel und den momentan erfassten Lenkwinkel. In den Regelkreis eingehende Störgrößen sind Probleme bei der Übertragung des Stellmotors für den Lenkwinkel. Eine detaillierte Beschreibung zu dem bisherigen Stand des aggierenden Reglers ist unter Querreglung Vorarbeiten zu finden.
Hier kommt noch ein Bild des Regelkreises aus Simulink rein!
In der nachfolgenden Abbildung 15 ist ein Plot dieser Querregelung dargestellt. Es wird oben links die aktuelle Fahrbahn in der Simulation angezeigt. Daneben befindet sich die aktuelle Geschwindigkeit, der Solllenkwinkel und die Gierrate Psi ungefiltert. In den vier Plots in der unteren Reihe befindet sich von links nach rechts der Gierwinkel Psi als Rohwert, allerdings gefiltert. Neben der gefilterten Gierrate ist die eigentliche Regelgröße, also der Lenkwinkel aus dem Einspurmodell in der Einheit Grad/Sekunde dargestellt. Neben diesem Plot befindet sich ein Plot der drei Reglerparameter. Zu Erkennen ist, dass der P-Anteil noch ein leichtes Schwingen hat, was für die Regelung aber nicht weiter kritisch ist. Als letzter Plot unten rechts befindet sich die Querablage des Fahrzeugs.

Offline-Simulation
Um die Straße in der Simulation darzustellen, wird eine Optimalspur manuell erstellt. Diese wird der Simulation übergeben, welche die Fahrbahnmarkierungen im Plot generiert.
Die Bestimmung des Solllenkwinkels erfolgt in der Offline-Simulation im Block "CCF-offline"-->"SEN-Sensoren-offline"-->"SenKam-Kamera"-->MATLAB-Funktion "parabel_voraus". Da in dieser Simulation die optimale Fahrbahn hinterlegt ist, werden Punkte innerhalb eines zuvor definierten Radius in einem Array abgespeichert. Diese werden anschließend durch eine Drehmatrix vom Weltkoordinatensystem in das Fahrzeugkoordinatensystem umgewandelt.Nachdem die Koordinaten transformiert wurden, werden alle Koordinaten mit negativer X-Koordinate herausgefiltert, sodass lediglich Koordinaten, welche sich vor dem Fahrzeug befinden, berücksichtigt werden.

Abschließend wird ein Lineares Gleichungssystem erstellt. Hierzu werden die X Werte in eine Matrix eingebunden. So werden für jeden Punkt eine Spalte in der Form (quadrierter X-Wert, X-Wert, 1) angelegt. Die Y-Koordinaten werden in einem Spalten-Vektor hinterlegt. Um die Parameter "a", "b", "c" ermitteln, wird dieses Gleichungssystem gelöst und an die folgenden Funktionen übergeben.
Diese ermittelten Parameter beschreiben die Fahrbahn bis zur Sichtweite exakt. Hiermit kann nun unter Zuhilfenahme des derzeitigen Lenkwinkels die voraussichtliche Abweichung in Vorausschauweite ermittelt werden und der Lenkwinkel angepasst werden kann.
Die derzeitige Berechnung führt zu einem Fehlverhalten in Linkskurven. Der Ursprung dieses Fehlers konnte derzeit nicht definiert werden. Mögliche Ursachen hierfür kann ein fehlerbehaftetes Einspurmodell oder eine fehlerhafte Berechnung aufgrund von Vorzeichenwechsel sein. Dies muss im Folgenden ausführlich überprüft werden, sodass diese Herausforderung gemeistert werden kann.
Der Rundkurs kann mehrere Kreuzungen beinhalten, an denen Stopplinien markiert werden und dort das Fahrzeug die Geschwindigkeit reduzieren und vor der Stopplinie halten muss. Dies wird in REQ 10.2340 beschrieben.

Folgende Aufgaben werden an die Anwendung gefordert:
| ID | Inhalt | Ersteller | Datum |
|---|---|---|---|
| 1 | Die Fahrzeugposition und Winkel müssen eingelesen werden. | Marcel Bröckelmann | 25.10.2019 |
| 2 | Der Schalter zur Aktivierung der Funktion muss eingelesen werden. | Marcel Bröckelmann | 25.10.2019 |
| 3 | Die Parameter des Bahnspurpolynoms müssen eingelesen werden. | Marcel Bröckelmann | 25.10.2019 |
| 4 | Die Koordinaten der Stopplinien müssen eingelesen werden. | Marcel Bröckelmann | 25.10.2019 |
| 5 | Die Stopplinienkoordinaten müssen in das Fahrzeugkoordinatensystem umgewandelt werden. | Marcel Bröckelmann | 25.10.2019 |
| 6 | Nur Stopplinien vor dem Fahrzeug dürfen berücksichtigt werden. | Marcel Bröckelmann | 25.10.2019 |
| 7 | Die verbleibenen Stopplinien müssen überprüft werden, ob sie die Fahrspur schneiden. | Marcel Bröckelmann | 25.10.2019 |
| 8 | Das Fahrzeug muss die Distanz zu den Stopplinien ermittelt werden. | Marcel Bröckelmann | 25.10.2019 |
| 9 | Das Fahrzeug muss ein Stopplinien-Flagbit und eine Distanz ausgeben. | Marcel Bröckelmann | 25.10.2019 |
| 10 | Das Flagbit muss gesetzt werden und der kürzeste Abstand zu den Stopplinien ausgegeben werden. | Marcel Bröckelmann | 25.10.2019 |
Ablaufplan
Um diese Anforderungen zu erfüllen, wurde ein Ablaufplan erstellt. Dieser ist in Abbildung 18 zu sehen.
Zu Beginn der Stopplinienerkennung in der Offline-Simulation muss dem Programm die Position des Fahrzeug, dessen Winkel im Weltkoordinatensystem, die Start- und Endpunkte der Stopplinien und das Bahnspurpolynom übergeben werden.
Da die Funktion sowohl einen Abstand zur Stopplinie als auch ein Flagbit übermitteln soll, müssen diese zu Beginn des Programms initialisiert werden.Sollten Stopplinien übergeben worden sein, so muss zuerst eine Transformation der Stopplinienpunkte in das Fahrzeugkoordinatensystem stattfinden.
Anschließend müssen alle Stopplinien-Koordinaten-Paare extrahiert werden, welche sich innerhalb eines Radius' um das Fahrzeug befinden. Sofern nach dieser Extraktion Stopplinien verbleiben, muss anschließend ermittelt werden, welche Stopplinien sich vor dem Fahrzeug befinden.
Da auch Stopplinien auf der Gegenfahrbahn erkannt werden können, diese jedoch nicht beachtet werden müssen, wird im darauf folgenden Schritt ermittelt, welche Stopplinien einen Schnittpunkt mit dem Bahnspurpolynom besitzen. Hierzu wird eine Gerade durch die Punkte der jeweiligen Stopplinien gezogen und mittels der PQ-Formel die Schnittpunkte ermittelt. Die errechneten Schnittpunkte werden anschließend daraufhin geprüft, ob sie sich zwischen den beiden Stopplinienpunkten befinden. Ist dies der Fall, so wird diese Stopplinie gespeichert.
Da mehrere legitime Schnittpunkte möglich sind, muss anschließend der Abstand zwischen den Schnittpunkten zu dem Fahrzeug ermittelt werden. Jeder ermittelte Wert muss mit dem vorigen Abstand verglichen werden und der kleinere Abstand gespeichert werden.Zusätzlich muss nach dem ersten setzen des Minimalabstands das Flagbit auf 1 gesetzt werden.
Nachdem alle Abstände verglichen wurden oder in einer der zuvor verwendeten if-Verzweigungen der Workflow verlassen wurde, wird abschließend Flagbit und der Abstand übermittelt.
Schnittpunktberechnung
Um den Schnittpunkt zwischen Bahnspurpolynom und Stopplinie zu ermitteln, liegt das Bahnspurpolynom in folgender Form vor:
Die Stopplinie liegt zu Beginn der Schnittpunktberechnung lediglich als zwei Koordinatenpunkte vor:
Um die Berechnung des Schnittpunktes durchführen zu können, muss zunächst die Gerade in Vektorform erstellt werden. Die Form ist hierbei wie folgt:
Da diese Formeln nicht in der derzeitigen Form gleichgesetzt werden könnne, muss die Vektorform in die Berechnung des X- und Y-Wertes erfolgen, sodass das Ergebnis der nachfolgenden Formel entspricht.
Anschließend können das Bahnspurpolynom und die Vektorschreibweise der Stopplinie gleichgesetzt werden: ;
(Die Bezeichnung P verweist auf das Bahnspurpolynom)
Da Xp durch das zusammenführen der Formeln einen Ersatzwert hat, wird dieser anschließend ersetzt:
Um den Schnittpunkt zu ermitteln, muss durch die PQ-Formel der Wert von S ermittelt werden, wofür die entstandene Gleichung in entsprechende Form umgewandelt werden muss.;
Hierzu muss die Gleichung zuerst umgeformt werden:
Abschließend kann die Gleichung in die PQ-Formel eingesetzt werden, sodass folgende Formel entsteht:
Hierdurch kann das S ermittelt werden, welches in die Vektorform der Geraden eingefügt werden kann, um den Schnittpunkt zu ermitteln. Zusätzlich gibt der Wert Aufschluss darüber, ob der Schnittpunkt innerhalb der Stopplinie oder außerhalb der Begrenzungen sich befindet. Besitzt S eine Wert zwischen 0 und 1, so liegt der Schnittpunkt in den Begrenzungen. Sollte dies nicht der Fall sein, so liegt der Schnittpunkt außerhalb der Begrenzungen und die Stopplinie kann ignoriert werden.
Programmierung
Da die Daten über Spur und Stopplinien in Online- und Offline-Simulation unterschiedlich sind, muss die Implementierung der Funktion der Stopplinienerkennung an verschiedener Stelle stattfinden. In der Offline-Simulation wird hierfür der Offline-Sensoren-Block verwendet, da dieser in der Online-Simulation durch die Kamerafunktionen und deren Funktionen ersetzt wird.
Die Stopplinienerkennung wird mittels einer implementierten Matlab-Funktion realisiert, welche die Eingänge A,B,C des Fahrspurpolynoms, X,Y und Ausrichtung des Fahrzeugs und die Liste aller Stopplinien besitzt. Als Ausgänge werden ein double für den Abstand und ein Boolean für das Flagbit definiert.
Zu Beginn wird ermittelt, ob Stopplinien vorhanden sind. Hierzu wird der Abstand der ersten beiden Stopplinienpunkte verglichen und überprüft, ob der Abstand zwischen den beiden Punkten größer 0 ist. Ist dies der Fall, so wird die Funktion regulär fortgesetzt.
Um Stopplinien zu filtrieren, welche sich innerhalb eines Radius' um das Fahrzeug befinden, müssen die Stopplinien-Koordinaten vom Weltkoordinatensystem in das Fahrzeugkoordinatensystem überführt werden. Hierzu wird eine Drehmatrix auf die kordinaten angewendet, welche die Stopplinien-Koordinaten unter Zuhilfenahme der Fahrzeugposition und dem Winkel im Weltkoordinatensystem umwandelt. Die resultierenden Koordinaten beschreiben die relative Postion der Stopplinien zum Fahrzeug.
Da nicht alle Stopplinien zu überprüfen sind und eine realistische Sichtweite in der Offline-Simulation simuliert werden soll, wird der Abstand der Punkte zum Fahrzeug mittels des Satzes von Pythagoras ermittelt. Stopplinien-Koordinaten-Paare mit einem kleineren Abstand als die zuvor festgelegte Sichtweite werden gespeichert und mit ihnen weitergearbeitet.Da Stopplinien hinter dem Fahrzeug nicht berücksichtigt werden müssen, werden diese anschließend durch auf negative X-Werte überprüft. Alle Stopplinienpaare mit mindestens einem positiven X-Wert werden gespeichert und anschließend weiterverwendet.
Die Verbleibenden Stopplinien, bestehend aus jeweils 2 Punkten, können trotz ihrer Distanz zum Fahrzeug dennoch für dieses irrelevant sein, wenn die Stopplinie nicht die prädizierte Fahrspur schneidet.
Sollte eine Stopplinie in Sichtweite sein, so muss überprüft werden, ob diese sich auf der errechneten Spur befindet. Dies findet im Block "CCF_offline" -> "BSF - Bahnplanung und Spurführung" -> "BSFVx - Bestimmung Sollgeschwindigkeit" -> Matlab-Funktion "Stopplinienerkennung" statt.
Hierzu wird in der Offline-Simulation wie zur Spurberechnung überprüft, ob Stopplinien sich innerhalb eines Radius' um das Fahrzeug befinden.
Um diese zu ermitteln, wird der Abstand zwischen Fahrzeugschwerpunkt und Start- und Endpunkten der Stopplinien errechnet und sämtliche Stopplinien, welche einen Wert unterschreiten, gespeichert.
Anschließend werden die Koordinaten vom Welt-Koordinatensystem in das Fahrzeugkoordinatensystem überführt, indem die X- und Y-Werte des Fahrzeugs von denen der Stopplinienpunkte subtrahiert werden und mittels einer Drehmatrix transformiert werden.
Da angenommen werden kann, dass Stopplinien hinter dem Fahrzeug nicht von Relevanz sind, können anschließend alle Stopplinien, deren beiden Punkte negative X-Koordinaten besitzen, vernachlässigt werden.
Anschließend müssen die Gleichungen für Fahrspur und Gerade durch die Stopplinien gleichgesetzt werden und mittels der pq-Formel der Schnittpunkt zwischen Bahnpolynom und Gerade durch Start- und Endpunkt der Stopplinien errechnet werden. Zusätzlich muss überprüft werden, ob dieser Schnittpunkt sich zwischen Start- und Endpunkt der Stopplinie befindet. Ist dies der Fall wie in Abbildung 18, so wird der Abstand von Fahrzeug zu Schnittpunkt ermittelt und die Geschwindigkeit in Abhängigkeit zur kürzesten Distanz angepasst.
Dieses Verhalten wurde an einer neu entwickelten Testumgebung überprüft, indem auf einer Geraden eine Stopplinie eingefügt wurde, wodurch das in Abbildung 18 Ergebnis erzielt wurde.Hierbei ist außerdem zu erkennen, dass ein degressives Bremsverhalten stattfindet, sodass mit deutlich reduzierter Geschwindigkeit die Haltelinie erreicht wird.

Im nächsten Schritt muss das Ergebnis in hinreichenden Tests überprüft und das Warten an der Stopplinie für 2 Sekunden und die Wiederanfahrt, sowie die Beachtung der Rechts-vor-Links-Regelung implementiert werden.
Ergebnis/ Zusammenfassung
Sommer 2019
- Fehler bei der Rechtskurvenfahrt erkannt, Ursprung scheint Gierraten-Errechnung zu sein (noch nicht behoben)
- PID-Regler wurde durch Nullsetzung von Parametern auf einen P-Regler reduziert
- Stopplinienerkennung wurde teilintegriert (Stopp an Haltelinie, Verlangsamung bei Näherung)
- Erstellung einer Testumgebung für den Stopplinientest (Fahrbahn Nr. 3)
Sommer 2018
- In der Simulation ist die richtige Funktion der Querregelung zu erkennen
- ein Einschwingen des Reglers ist in der Simulation kein Problem in Hinsicht auf das Einhalten der SOLL-Bahn
- Simulink Modelle sind optimiert - Einstellungen des P-,I- und D- Anteils sind ausschließlich in den Parametern vorzunehmen und nicht im Modell selbst
- Längsregelung ist zur Zeit noch inaktiv und ist stattdessen durch eine konstante Geschwindigkeit ersetzt
- Längsregelung ist jedoch in der Simulation funktionsfähig, so wird die Geschwindigkeit in Kurvenfahrten reduziert und auf geraden Strecken wieder erhöht
- Tests auf der Fahrbahn konnten mit dem aktuellen Stand im Sommersemester '18 noch nicht durchgeführt werden
Ausblick
Sommer 2019
- Die implementierten Funktionen zu Haltelinien und das angepasste Spurverhalten müssen durch weitere Personen überprüft werden.
- Das Spurverhalten in Linkskurven sollte korrigiert werden. Hierfür muss von einem Team analysiert werden, wodurch dieses Fehlverhalten hervorgerufen wird.
- Das Stopplinienverhalten besitzt zurzeit keine Wiederanfahrt oder eine Messung der Haltezeit. Diese Funktionen können im Folgesemester implementiert werden.
Winter 2018/19
- Die Bestimmung der Ist-Geschwindigkeit könnte durch ein PT1 Glied, was das reale Verhalten des Autos wiederspiegelt modelliert werden. Dies würde eine noch höhere Modellgenauigkeit mit sich bringen.
- Es wurde eine Anpassung der Längsführung in verschiedenen Fahrsituationen. So wird nun die Geschwindigkeit auf einem Rundkurs mit Hindernissen in der Simulation bei einem erkannten Hindernis angepasst. Das Fahrzeug passt nun seine Geschwindigkeit der eingestellten Vorgabe bei einem erkannten Hindernis bis zum Ausschervorgang an, dieses Verhalten kann bei einer Fahrt mit dynamischen Hindernisssen genutzt und erweitert werden um ...
- 1. ... vor dem Überholvorgang zu überprüfen ob die Gegenspur einen Überholvorgang zulässt.
- 2. ... nach dem Ausscheren zu überprüfen ob ein Überholvorgang möglich ist.
Sommer 2018
- Bisher konnten die Regler nur in der Simulation getestet werden, im kommenden Wintersemester wird ein Test auf der Fahrbahn erfolgen, sodass verfiziert werden kann, dass die in der Simulation gewählten Reglerparameter sich auch in der Praxis bewähren. Sollte sich heraussstellen das eine Nachoptimierung erforderlich ist, so wird dies auch im kommenden Wintersemester erfolgen.
- Das neu eingebaute Konzept zur Bestimmung der Sollgeschwindigkeit wird im kommenden Wintersemester auf der Fahrbahn erprobt. In der Simulation erwies sich die Berechnung anhand der Kameraparameter als sehr vielversprechend. Das Finetuning dieser Berechnung erfolgt ebenfalls im kommenden Wintersemester.
Sommer 2017
- Feinjustierung der Parameter der Längsregelung am Fahrzeug
- Nach der Parametrisierung des Einspurmodells Querregler im Simulations-Modell auslegen
- Wenn Auslegung Querregler in Simulation erfolgreich, dann Feinjustierung am Fahrzeug
- Messung der Gierrate mit neuem Gierraten-Sensor
- Auslegung des ESM durch Justierung der Größen J, cv und ch
- Implementierung des Konzepts für Hindernisumfahrung in der Online-Simulation
Winter 2017
- Reglerparameter für Querregelung anpassen, sodass Regler schneller reagiert (enge Kurven, Hindernisse), dann Fahrgeschwindigkeit erhöhen
- Vorausschauweite lässt sich evtl. noch verbessern
- evtl. Sonderregelung für Querreglung bei erkannter Stopplinie: für eine feste Streckenlänge geradeaus fahren; dadurch lassen sich die Lücken auf der Kreuzung einfach kompensieren; Absprache mit Kamera-Team/Bildverarbeitung notwendig
- Implementierung des Konzepts zum Anhalten an Stopplinien
- in Hindernisumfahrung eigene Signalaufbereitung entfernen, Objektliste aus Signalaufbereitung verwenden, vgl. Vorarbeit
- Hindernisumfahrung in Simulation anpassen, dann auf AMR testen
- Kalman-Filter für Streckenverlauf, vgl. Vorarbeit; Absprache mit Kamera-Team/Bildverarbeitung notwendig
Einzelnachweise
Autor: Nils Brunnert
Überarbeitet: Daniel Block und Torben Petersen im Sommersemester 2014 und Wintersemester 2014/2015
Überarbeitet: Marcus Irmer und Robin Kirsch im Sommersemester 2016 und Wintersemester 2016/2017
Überarbeitet: Benedikt Wulowitsch und Leonard Herbstmann im Sommersemester 2018 und Wintersemester 2018/19
Überarbeitet: Marcel Bröckelmann im Sommersemester 2019
→ zurück zum Hauptartikel: Praktikum SDE